Die Ableitung von einfachen Funktionen

Die Ableitung für alle Funktionen kann mit dem Grenzwert des Differenzenquotienten durchgeführt werden.

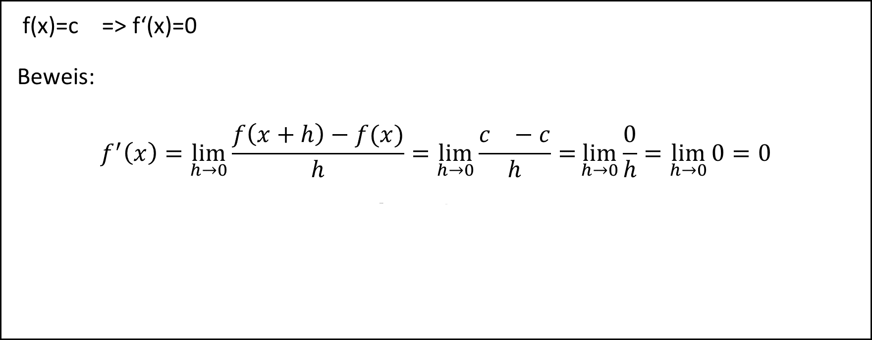
Die konstante Funktion f(x)=c hat die Steigung 0. (waagerechte Gerade) Daher ist f'(x)=0
Nachweis->

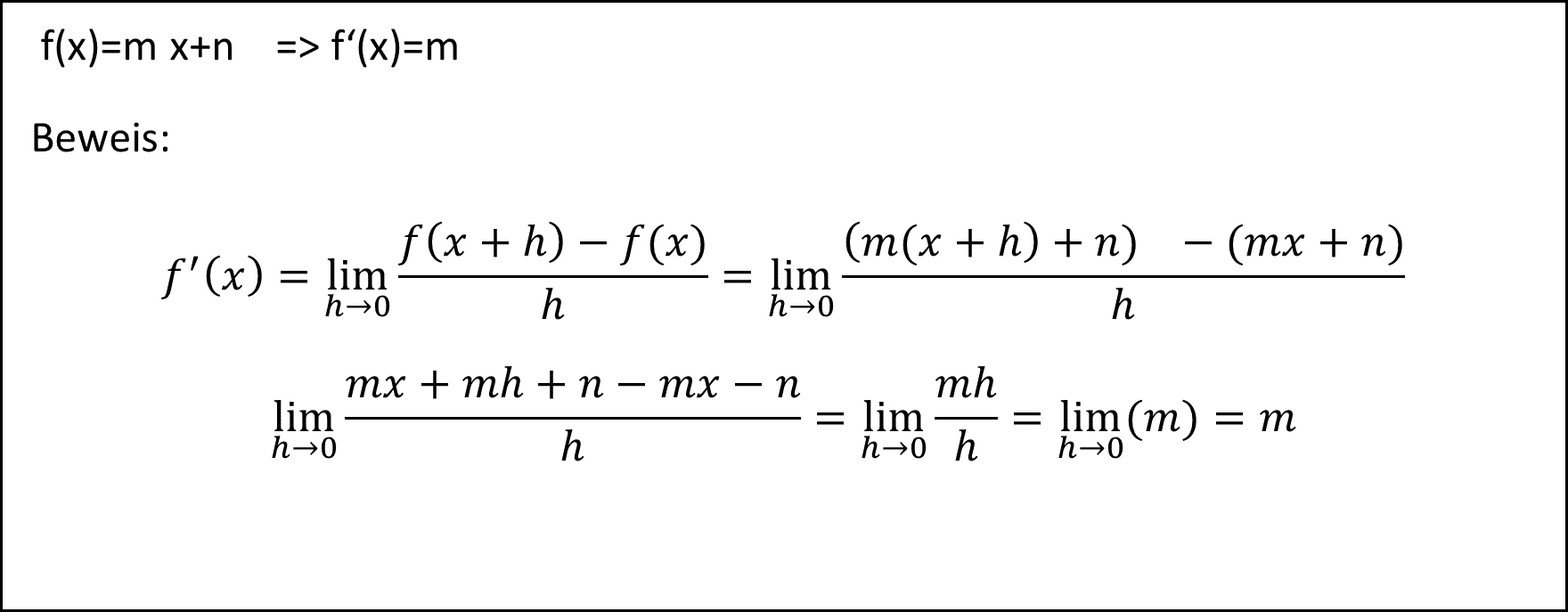
Die linearen Funktionen (Geraden) haben die folgende Ableitung:
f(x) = m x +n => f'(x)=m
Dies ist schon bekannt, kann aber auch durch den Differenzenquotienten nachgewiesen werden ->

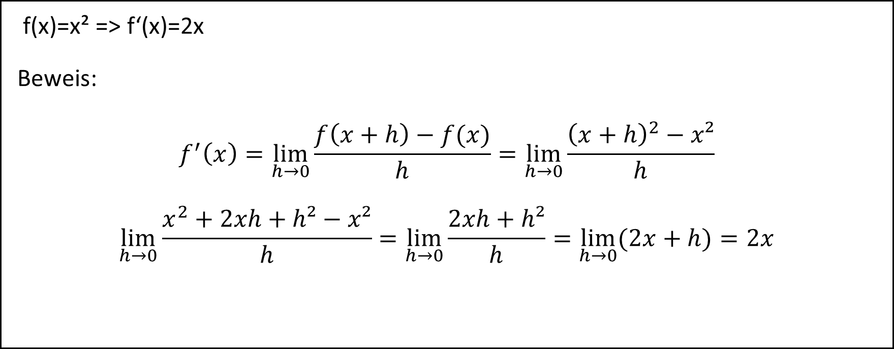
Nun kommen wir zur Parabel f(x)= x²
Wir haben schon hergeleitet, dass die Ableitung f'(x)=2x ist.

Ableitung zu f(x)=x²


hier der Nachweis ->

Die bisherigen Regeln zum Merken zusammengefasst:

nach oben
nach oben