Strukturelle Ableitungsregeln

Die Faktorregel ist die erste wichtige Strukturregel. Faktoren durchlaufen das Ableiten unverändert.
f(x)= k * p(x) => f'(x)= k* p'(x)
Beispiel:
f(x)= 4 x²
f'(x) = 4* 2x = 8x

Die Summe zweier Funktionen wird so abgeleitet, dass jeder Summand einzeln abgeleitet wird.
f(x)= p(x) + k(x)
f '(x) =p'(x) + k'(x)
Dies ist nicht selbstverständlich, beim Produkt gilt es nämlich nicht!

Die Potenzregel ist wichtig für alle ganzrationalen Funktionen
f(x)=x^n f'(x)= n * x^(n-1)
Beispiel:

f(x)=x³ => f'(x)= 3x²

Die Produktregel:

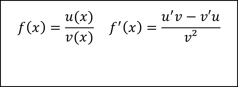
Die Quotientenregel:

weitere Regeln:
wikipedia

nach oben
nach oben