Die Ableitung 4

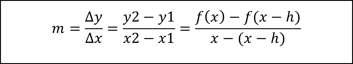
Schauen wir noch mal unsere Gebrauchsanweisung an: f(x)=x² sei immer noch gegeben. Rechnen wir nun den Bruch aus.

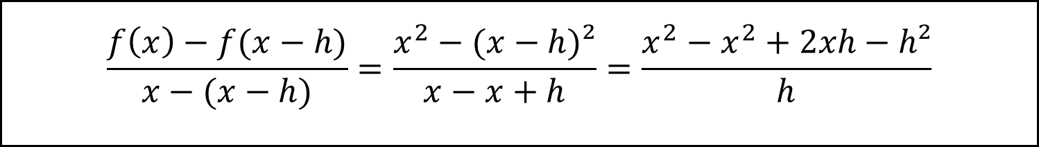
Die Klammern sorgfältig auflösen, auf Minuszeichen vor der Klammer achten! Zum Schluss durch h kürzen.

Jetzt ist es schon fast geschafft!

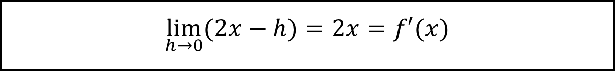
Noch den Limes (Grenzwert h-> 0)
Diese Funktion f' ist die gesuchte Funktion der Tangentensteigungen zu y=x²
f'(x)=2x
Es sieht so simpel aus, und wir hatten soviel Arbeit damit! Super!
Ergebnis kontrollieren:
die Stelle 2 eingesetzt in f'(x) ergibt 4! OK!
Die Steigung können wir jetzt durch einfaches einsetzen in f'(x)=2x ausrechnen. Ist das nicht eine hervorragende Vereinfachung? Mathematik ist toll!

Nach dieser ausführlichen Einführung können wir nun daran arbeiten, einfache Regeln für alle Funktionen aufzustellen, um die Ableitung damit schnell erstellen zu können.

nach oben
nach oben