Die Steigung der Tangente berechnen

Wir wollen nun die Tangentensteigung in einem Punkt an den Graphen von f berechnen.
Nehmen wir f(x)=0.25 x²
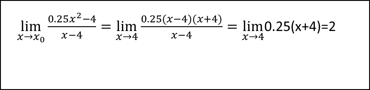
An der Stelle x0=4 soll die Tangente berechnet werden. Wir verwenden die Methode x-> x0 .

Hier der Graph zur Veranschaulichung

Beispiel: f(x)= 0.25 x²
xo=4


Tangente: m=2 Punkt (4|4)
( 4=2*4+n => n=-4)
ergibt die Gleichung y=2x-4

nach oben
nach oben